欢迎访问陕西现代人恒久安全技术有限公司官网!
029-88188777 / 18133933769
网站首页
关于我们
企业简介
企业优势
企业架构
企业理念
专家团队
业务范围
安全评价
危险化学品重大危险源评估
生产安全事故应急预案编制
安全生产标准化咨询及评审
安全技术服务与托管
报告公示
陕西省安全评价检测检验机构诚信承诺书
当年评价报告
往年评价报告
滚动通知
企业文化
公司年会
培训剪影
公司团建
回馈社会
资质荣誉
资质证照
荣誉表彰
标准化资质
相关文件
质量管理体系认证证书
环境管理体系认证证书
职业健康管理体系认证证书
健康、安全与环境管理体系认证证书
新闻资讯
公司动态
安全服务动态
安全生产动态
案例展示
典型案例
典型客户
联系我们
诚聘英才
联系我们
报告公示
陕西省安全评价检测检验机构诚信承诺书
当年评价报告
往年评价报告
滚动通知
当年评价报告
首页
/
报告公示
/ 当年评价报告
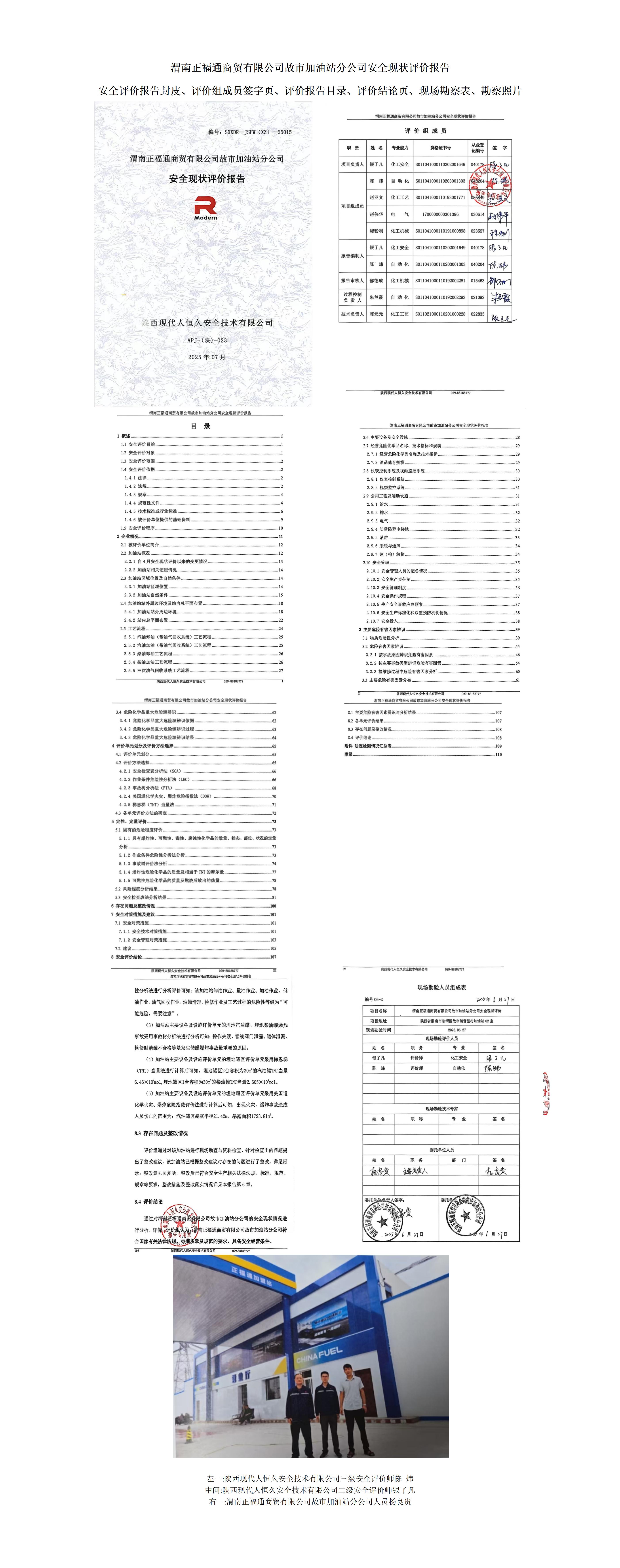
渭南正福通商贸有限公司故市加油站分公司安全现状评价报告
发布时间:2025/8/15 14:36:01
点击数:99
上一篇:
渭南市临渭区南师加油站安全现状评价报告
下一篇:
2023年12月安全评价报告相关信息公开(1)